Пехчево се разбуди под снежна покривка (фото)
Истокот од земјава, во Малешевијата, утрово осамна под снег. Најавите на метеоролозите за снежен бран се остварија, а пехчевци можат да уживаат во зимска идила.
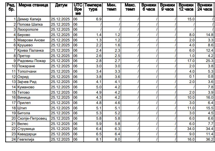
Според прогнозата, времето денеска ќе биде променливо облачно со повремени локални врнежи од дожд, особено претпладне во источните делови. На планините и на некои од повисоките места врнежите ќе бидат од снег. Попладне врнежите насекаде ќе престанат. Ќе дува слаб до умерен ветер од северен правец.
Утрово, во 7 часот, измерени се следниве температури:
